型号:DSHPML-132-3
功率:132KW
马力:180HP
PA旗舰厅为化纤加弹行业定制低压螺杆式空气压缩机,它脉冲小,气源稳定,能有效降低加弹次品率,相比活塞机更节能,最低压力可达1.5bar。针对加弹行业,保证长时间连续运转。使用PA旗舰厅低压螺杆机,能让您在同等气量的情况下,获得非常惊人省电效果。
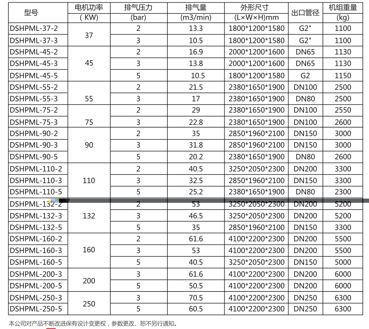
超低压永磁变频螺杆机技术参数:
在线客服
在线客服服务时间:9:00-18:00
客服中心
热线电话
400-893-68807*24小时客服服务热线
微信咨询
关注官方微信